Luiz Armando Costa
IPTU 2026
Luiz Armando Costa
  • Home
  • Sobre Nós
  • Ponto Cartesiano
  • Destaque
  • Nacional
  • Estado
  • Ponte Aérea
  • Coisa Nossa
  • Essencial - Rosilda Pereira
  • Contato
  • Home
  • Sobre Nós
  • Ponto Cartesiano
  • Destaque
  • Nacional
  • Estado
  • Ponte Aérea
  • Coisa Nossa
  • Essencial - Rosilda Pereira
  • Contato

campos

Petrobras inicia operação na Plataforma P-78 no Campo de Búzios


03 de janeiro de 2026

A Petrobras informou nesta sexta-feira (2) que iniciou, na última quarta-feira (31), a produção de petróleo do navio-plataforma P-78, no Campo de B...

Sindifiscal
Sindare
Agenda 2025

Últimas notícias

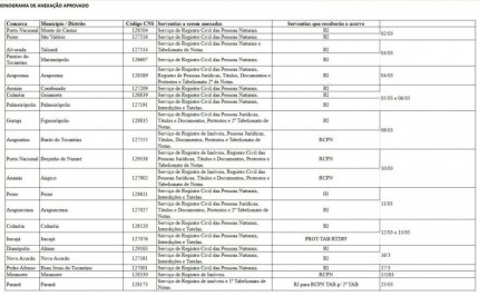
  • Conselheiro do CNJ volta à carga: suspende anexação legal e necessária de serventias extrajudiciais feitas pelo TJ e favorece "holding" de cartórios que faturaram algo próximo de R$ 400 milhões no ano passado no Estado!!!

  • Quase unanimidade

  • Capital é uma das quatro do país que avançaram no combate à pobreza e antagonismo a Eduardo se dirige para entrega das UPAs a uma Santa Casa quando "pejotização" da saúde já existe não só em Palmas, mas no Brasil

  • Prefeitura de Palmas realiza concretagem e estruturação de nova ponte, no Santa Bárbara

  • Com previsão de entrega para o segundo semestre, Governo do Tocantins avança na construção do Hospital Geral de Araguaína

  • Governo do Tocantins inicia preparativos para a maior feira de tecnologia agropecuária da Região Norte

  • MPTO cobra detalhamento técnico para implantação da ala de queimados no HGP

  • Mega-Sena acumulada sorteia neste sábado prêmio de R$ 75 milhões

  • Ministério da Saúde aumenta em 15% os repasses para hemodiálises

  • Troca de advogado de Vorcaro sinaliza possível delação premiada

Luiz Armando Costa

Editorias

  • Ponto Cartesiano
  • Nacional
  • Estado
  • Ponte Aérea
  • Essencial - Rosilda Pereira
  • Coisa Nossa
  • Destaque

Contato

  • luizarmandocosta@gmail.com
© 2026. Luiz Armando Costa. Todos os direitos reservados.