O Tribunal de Justiça tem prazo de quinze dias para prestar informações ao Conselho Nacional de Justiça sobre anexações de serventias.
O conselheiro Ulisses Rabaneda decidiu liminarmente na semana passada (dia 11) suspender a programação de anexações de serventias feita pelo TJ. O pedido havia sido feito por uma associação de titulares de cartório.
E o qual o busílis: quando uma serventia fica vaga, a Lei Complementar 112 manda cada Estado (TJ) anexar as serventias vagas. Hoje inclusive até para pessoas que não são bacharéis em direito, como decidiu o CNJ no PCA 4958, no ano passado.
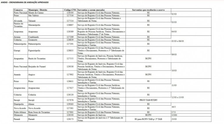
A anexação é um ato até profilático: impede que um titular de cartório seja titular de serventias em várias cidades ao mesmo tempo. Já há um cronograma de 21 anexações pelo TJ. Há serventias extra-judiciais avaliadas como deficitárias pelo TJ. E outras necessitam de concurso para serem preenchidas.
No Estado, há casos em que existem três cartórios diferentes e em três cidades diversas que estariam sob responsabilidade de uma mesma pessoa.
Ou seja, o titular tem que estar em três cidades diferentes ao mesmo tempo. A anexação feita pelo TJ impede esse domínio cartorial de empresários. Uma espécie de holding de cartórios.
Mas o conselheiro Rabaneda não titubeou. Sequer lembrou que no ano passado havia concedido liminar semelhante e com os mesmos termos e objeto e teve sua decisão derrubada por unanimidade pelo CNJ. Inclusive com o voto dele que voltou atrás na liminar concedida.
Na última quinta à noite voltou à carga e decidiu assim:
“ Ante o exposto, DEFIRO A LIMINAR, para determinar a suspensão imediata dos efeitos do cronograma administrativo que instituiu a anexação das serventias extrajudiciais mencionadas na petição inicial, bem como de quaisquer atos preparatórios, de transmissão de acervo ou de implementação das anexações dele decorrentes, até ulterior deliberação deste Conselho.”
Obviamente que, até o processamento do feito e nova decisão colegiada do CNJ, os cartorários terão mais tempo para encher as burras de grana, contrariando a Lei Complementar 112/2018.
No ano passado (números do CNJ) os cartórios no Estado registraram um rendimento bruto de R$ 350 milhões. E os interinos (vagos) cerca de R$ 24 milhões.



